Karaman Çalışma ve İş Kurumu (İŞKUR) İl Müdürlüğü ile Karaman İl Millî Eğitim Müdürlüğü arasında imzalanan protokol kapsamında, Toplum Yararına Program (TYP) çerçevesinde il genelindeki okullarda geçici süreyle görevlendirilecek kişilerin listesi açıklandı.
İşsizlerin istihdam edilebilirliğini artırmak ve iş dünyasının dinamiklerine uyum sağlamalarına yardımcı olmak amacıyla düzenlenen bu programın başvuruları, 5 - 9 Ağustos 2025 tarihleri arasında e-Devlet, ALO 170 hattı veya İŞKUR birimlerinden yapılmıştı.
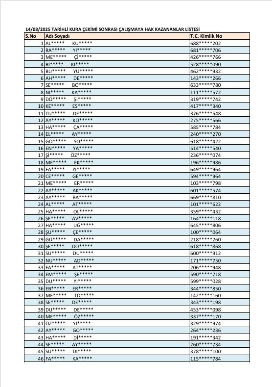
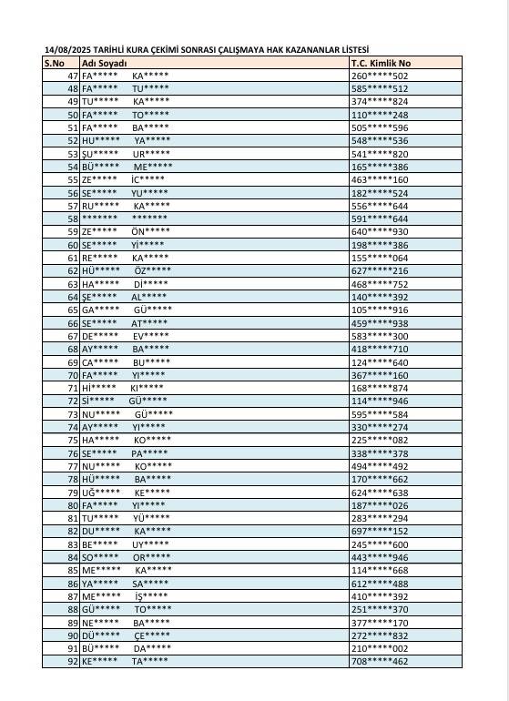
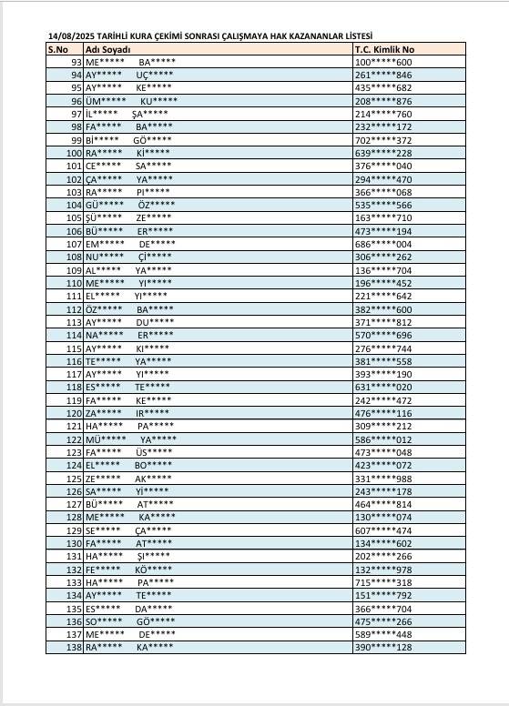
Karaman merkez için yapılan personel alımı, noter huzurunda kura yöntemi ile belirlendi. Kura çekimi, 14 Ağustos 2025 Perşembe günü saat 17.00'de Karaman İl Millî Eğitim Müdürlüğü Konferans Salonu'nda gerçekleştirildi. Kura çekimiyle belirlenen listeler, Karaman İl Millî Eğitim Müdürlüğü'nün resmi internet sitesinde yayımlandı.
Kura sonucu görevlendirilmeye hak kazananların eğitim kurumlarına dağılımı ise 21 Ağustos 2025 Perşembe günü saat 17.00'de Karaman İl Millî Eğitim Müdürlüğü Konferans Salonu'nda gerçekleştirilecek. Bu aşama sonrasında, görevlendirilecek kişiler belirlenen okullarda çalışma hayatına başlayacak.
Karaman merkeze bağlı eğitim kurumlarında görevlendirilmeye hak kazananların isim listesi şöyle;





Yorumlar
Kalan Karakter: